You are now in:
BASTI Home /
Alpha Enhanced (AF94) Models /
Canonical Models /
List of
metallicities / Z=0.002
|
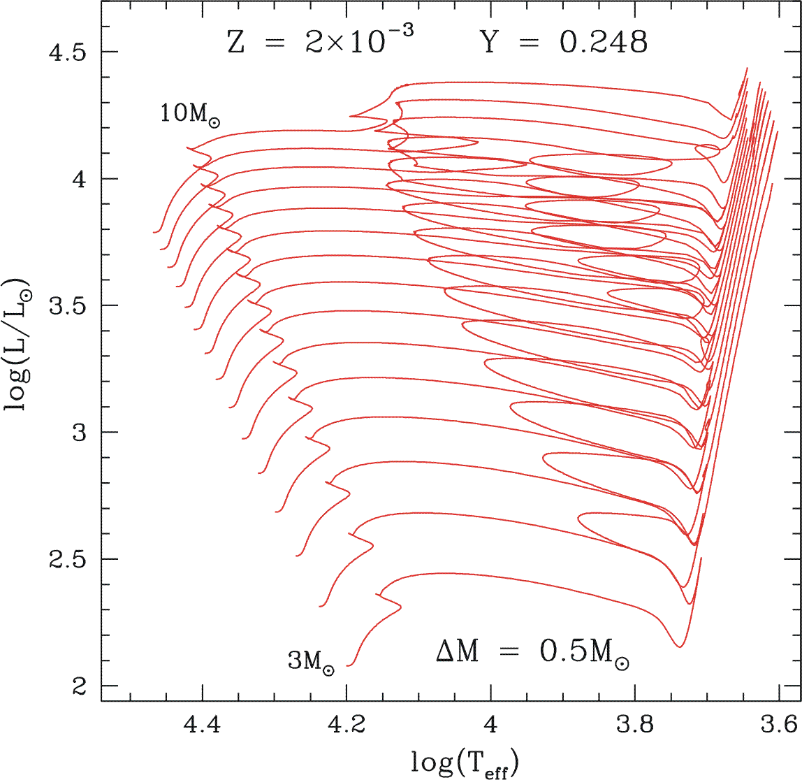
Y= 0.248, Z = 0.002 - Evolutionary models |
|
| |||||
| TABLE by PIETRINFERNI A. - CASSISI S. - SALARIS M. - CASTELLI F. - 2006 standard alpha-enhanced Z= 0.002 Y= 0.2480 | |||||||||||||||||||||||||||||||||||||||||||||||||||||||||||||||||||||||||||||||||||||||||||||||||||||||||||||||||||||||||||||||||||||||||||||||||||||||||||||||||||||||||||||||||||||||||||||||||||||||||||||||||||||||||||||||||||||||||||||||||||||||||||||||||||||||||||||||||||||||||||||||||||||||||||||||||||||||||||||||||||||||||||||||||||||||||||||||||||||||||||||||||||||||||||
| ZAMS | end central H | Tip RGB | ZAHB | end central He | first THERMAL PULSE | ||||||||||||||||||||||||||||||||||||||||||||||||||||||||||||||||||||||||||||||||||||||||||||||||||||||||||||||||||||||||||||||||||||||||||||||||||||||||||||||||||||||||||||||||||||||||||||||||||||||||||||||||||||||||||||||||||||||||||||||||||||||||||||||||||||||||||||||||||||||||||||||||||||||||||||||||||||||||||||||||||||||||||||||||||||||||||||||||||||||||||||||||||||||
M
| log(L) | log(Te) | Mcc | Mc_He | t_Hb | log(L) | log(Te) | He_sur | Age
| Mc_He | Mcc | Mc_He | Mc_CO | t_Heb | Mc_CO | Mc_He | log(L) | log(Te) | Age
| .7800 | -.3305 | 3.7638 | .0648 | .0960 | 14676.70 | 3.3907 | 3.5941 | .2610 | 15755.02 | .4881 | .1235 | .4908 | .1594 | 97.12 | .4656 | .5043 | 3.2202 | 3.6219 | 15921.53
| .8000 | -.2810 | 3.7707 | .0696 | .0965 | 13356.73 | 3.3909 | 3.5921 | .2620 | 14347.46 | .4877 | .1232 | .4965 | .1906 | 96.76 | .4736 | .5083 | 3.2782 | 3.6100 | 14511.02
| .9000 | -.0443 | 3.8000 | .0735 | .1044 | 8562.66 | 3.3886 | 3.5921 | .2650 | 9291.34 | .4858 | .1217 | .5109 | .1996 | 91.88 | .4947 | .5279 | 3.4519 | 3.5880 | 9440.53
| 1.0000 | .1672 | 3.8259 | .0775 | .1150 | 5779.43 | 3.3854 | 3.5981 | .2680 | 6335.13 | .4843 | .1221 | .5183 | .1681 | 88.38 | .5023 | .5340 | 3.4747 | 3.5901 | 6476.95
| 1.1000 | .3582 | 3.8529 | .0814 | .1221 | 4068.94 | 3.3826 | 3.6037 | .2690 | 4515.60 | .4830 | .1209 | .5233 | .1696 | 88.95 | .5075 | .5389 | 3.4999 | 3.5947 | 4654.16
| 1.2000 | .5333 | 3.8852 | .0961 | .1332 | 2949.83 | 3.3790 | 3.6080 | .2690 | 3372.17 | .4821 | .1205 | .5278 | .1721 | 87.86 | .5124 | .5402 | 3.5563 | 3.5951 | 3503.97
| 1.3000 | .6820 | 3.9195 | .1195 | .1391 | 2261.20 | 3.3746 | 3.6129 | .2680 | 2608.35 | .4814 | .1203 | .5312 | .2008 | 88.12 | .5176 | .5464 | 3.5188 | 3.6023 | 2735.77
| 1.4000 | .8162 | 3.9509 | .1408 | .1429 | 1795.66 | 3.3721 | 3.6170 | .2670 | 2083.80 | .4807 | .1215 | .5353 | .1815 | 86.27 | .5235 | .5517 | 3.5640 | 3.6025 | 2207.55
| 1.5000 | .9424 | 3.9796 | .1628 | .1637 | 1454.88 | 3.3701 | 3.6210 | .2660 | 1702.58 | .4805 | .1194 | .5390 | .1808 | 86.23 | .5253 | .5525 | 3.4986 | 3.6116 | 1823.72
| 1.6000 | 1.0569 | 4.0049 | .1932 | .1635 | 1205.95 | 3.3643 | 3.6245 | .2650 | 1407.14 | .4794 | .1203 | .5437 | .1880 | 86.01 | .5298 | .5561 | 3.4833 | 3.6163 | 1525.51
| 1.7000 | 1.1640 | 4.0282 | .2217 | .1716 | 1023.17 | 3.3504 | 3.6294 | .2640 | 1179.05 | .4767 | .1174 | .5466 | .2122 | 86.28 | .5365 | .5628 | 3.6080 | 3.6084 | 1294.82
| 1.8000 | 1.2484 | 4.0495 | .2711 | .1860 | 894.88 | 3.3178 | 3.6343 | .2630 | 1001.73 | .4706 | .1155 | .5475 | .1774 | 87.61 | .5369 | .5630 | 3.6019 | 3.6125 | 1114.82
| 1.9000 | 1.3675 | 4.0630 | .3010 | .1923 | 665.54 | 3.2580 | 3.6414 | .2620 | 839.11 | .4599 | .1122 | .5479 | .2035 | 92.59 | .5361 | .5616 | 3.5510 | 3.6201 | 954.93
| 2.0000 | 1.4335 | 4.0857 | .3330 | .2044 | 652.27 | 3.1254 | 3.6528 | .2610 | 716.28 | .4371 | .1061 | .5428 | .2035 | 102.13 | .5307 | .5580 | 3.5753 | 3.6209 | 841.18
| 2.2000 | 1.5910 | 4.1174 | .4015 | .2280 | 507.23 | 2.4737 | 3.6968 | .2610 | 530.37 | .3346 | .0426 | .5418 | .2015 | 167.60 | .5301 | .5571 | 3.5770 | 3.6258 | 716.29
| 2.4000 | 1.7302 | 4.1402 | .4771 | .2678 | 404.22 | 2.3680 | 3.7056 | .2600 | 421.04 | .3376 | .0876 | .5779 | .2091 | 136.16 | .5672 | .5879 | 3.5840 | 3.6297 | 567.37
| 2.6000 | 1.8560 | 4.1614 | .5534 | .2901 | 326.28 | 2.3829 | 3.7083 | .2560 | 338.15 | .3562 | .0835 | .6197 | .2300 | 105.81 | .6136 | .6290 | 3.7161 | 3.6229 | 451.88
| 2.8000 | 1.9717 | 4.1812 | .6204 | .3142 | 267.86 | 2.4386 | 3.7086 | .2520 | 276.85 | .3781 | .0849 | .6639 | .2331 | 85.42 | .6628 | .6755 | 3.9112 | 3.6112 | 368.25
| |
| M | Stellar mass | (solar units) |
| L | Surface luminosity | (solar units) |
| Te | Effective temperature | (Kelvin) |
| Mcc | Mass of convective core | (solar units) |
| Mc_He | Mass of He-core | (solar units) |
| t_Hb | Central H-burning lifetime | (10^6 year) |
| Age | Structure age | (10^6 year) |
| He_sur | Surface He | (mass fraction) |
| Mc_CO | Mass of CO-core | (solar units) |
| t_Heb | Central He-burning lifetime | (10^6 year) |
TABLE by PIETRINFERNI A. - CASSISI S. - SALARIS M. - CASTELLI F. -
2004 standard alpha-enhanced Z= 0.002 Y= 0.2480
|
ZAMS
|
end central H
|
ZAHB
|
end central He
|
second dr. up
|
first THERMAL PULSE
| M
| log(L) | log(Te) | Mcc | Mc_He | t_Hb | Mc_He
| Mcc | Mc_He | Mc_CO | t_Heb | Mc_CO | log(L) | Mc_CO | Mc_He | log(L) | log(Te) | Age
| 3.0000 | 2.0783 | 4.2004 | .6874 | .3367 | 224.18 | .4012 | .0986 | .7105 | .2705 | 69.34 | no dredge up | .7035 | .7152 | 3.9932 | 3.6086 | 304.62
| 3.5000 | 2.3127 | 4.2384 | .8564 | .3928 | 153.50 | .4655 | .1149 | .8342 | .3156 | 43.75 | .7812 | 4.1790 | .7945 | .7999 | 4.1439 | 3.6058 | 204.16
| 4.0000 | 2.5121 | 4.2708 | 1.0221 | .4637 | 111.93 | .5349 | .1474 | .9660 | .4519 | 29.81 | .8047 | 4.2101 | .8153 | .8201 | 4.1808 | 3.6114 | 146.34
| 4.5000 | 2.6851 | 4.2993 | 1.2051 | .5217 | 85.88 | .6040 | .1608 | 1.0966 | .5034 | 21.37 | .8235 | 4.2317 | .8340 | .8384 | 4.2011 | 3.6176 | 110.37
| 5.0000 | 2.8377 | 4.3231 | 1.3706 | .5810 | 68.16 | .6763 | .1828 | 1.2261 | .5478 | 15.99 | .8531 | 4.2669 | .8619 | .8654 | 4.2727 | 3.6186 | 86.51
| 5.5000 | 2.9740 | 4.3449 | 1.5572 | .6575 | 55.80 | .7574 | .2102 | 1.3658 | .5995 | 12.40 | .8807 | 4.2865 | .8914 | .8944 | 4.3244 | 3.6208 | 69.98
| 6.0000 | 3.0969 | 4.3637 | 1.7429 | .7135 | 46.72 | .8360 | .2338 | 1.5053 | .6725 | 9.89 | .9186 | 4.3183 | .9293 | .9314 | 4.3999 | 3.6201 | 58.04
| 6.5000 | 3.2086 | 4.3815 | 1.9375 | .7920 | 39.92 | .9276 | .2726 | 1.6466 | .7214 | 8.02 | .9558 | 4.3696 | ------- CARBON IGNITION -------
| 7.0000 | 3.3108 | 4.3967 | 2.1306 | .8602 | 34.66 | 1.0128 | .2812 | 1.7928 | .8252 | 6.66 | .9985 | 4.2641 | ------- CARBON IGNITION -------
| 7.5000 | 3.4052 | 4.4117 | 2.3376 | .9662 | 30.55 | 1.1146 | .3168 | 1.9421 | .9012 | 5.65 | no dredge up | ------- CARBON IGNITION -------
| 8.0000 | 3.4926 | 4.4247 | 2.5717 | 1.0509 | 27.23 | 1.2209 | .3516 | 2.0905 | .9435 | 4.84 | no dredge up | ------- CARBON IGNITION -------
| 8.5000 | 3.5738 | 4.4365 | 2.7659 | 1.1506 | 24.51 | 1.4257 | .4341 | 2.2505 | 1.0699 | 3.96 | no dredge up | ------- CARBON IGNITION -------
| 9.0000 | 3.6498 | 4.4486 | 2.9922 | 1.2684 | 22.28 | 1.4177 | .4588 | 2.4216 | 1.1328 | 3.81 | no dredge up | ------- CARBON IGNITION -------
| 9.5000 | 3.7210 | 4.4590 | 3.2100 | 1.3713 | 20.39 | 1.5341 | .4648 | 2.5859 | 1.2334 | 3.42 | no dredge up | ------- CARBON IGNITION -------
| 10.0000 | 3.7879 | 4.4686 | 3.4538 | 1.5173 | 18.78 | 1.6376 | .5469 | 2.7340 | 1.3292 | 3.21 | no dredge up | ------- CARBON IGNITION -------
| | ||||||||||||||||||||||||||||||||||||||||||||||||||||||||||||||||||||
| M | Stellar mass | (solar units) |
| L | Surface luminosity | (solar units) |
| Te | Effective temperature | (Kelvin) |
| Mcc | Mass of convective core | (solar units) |
| Mc_He | Mass of He-core | (solar units) |
| t_Hb | Central H-burning lifetime | (10^6 year) |
| Mc_CO | Mass of CO-core | (solar units) |
| t_Heb | Central He-burning lifetime | (10^6 year) |
| Age | Structure age | (10^6 year) |
|
|
|
Y=0.248, Z = 0.002 - HB models (Mass of the RGB progenitor: M=0.80 Mo) |
|
| |||||||||||||
![]() |
|
Y=0.248, Z = 0.002 - Isochrones (Age: 30 - 14000 Myr)
| |||||
| List of metallicities |