You are now in:
BASTI main /
Alpha Enhanced (AF94) Models /
Non Canonical Models /
List of
metallicities / Z=0.0006
|
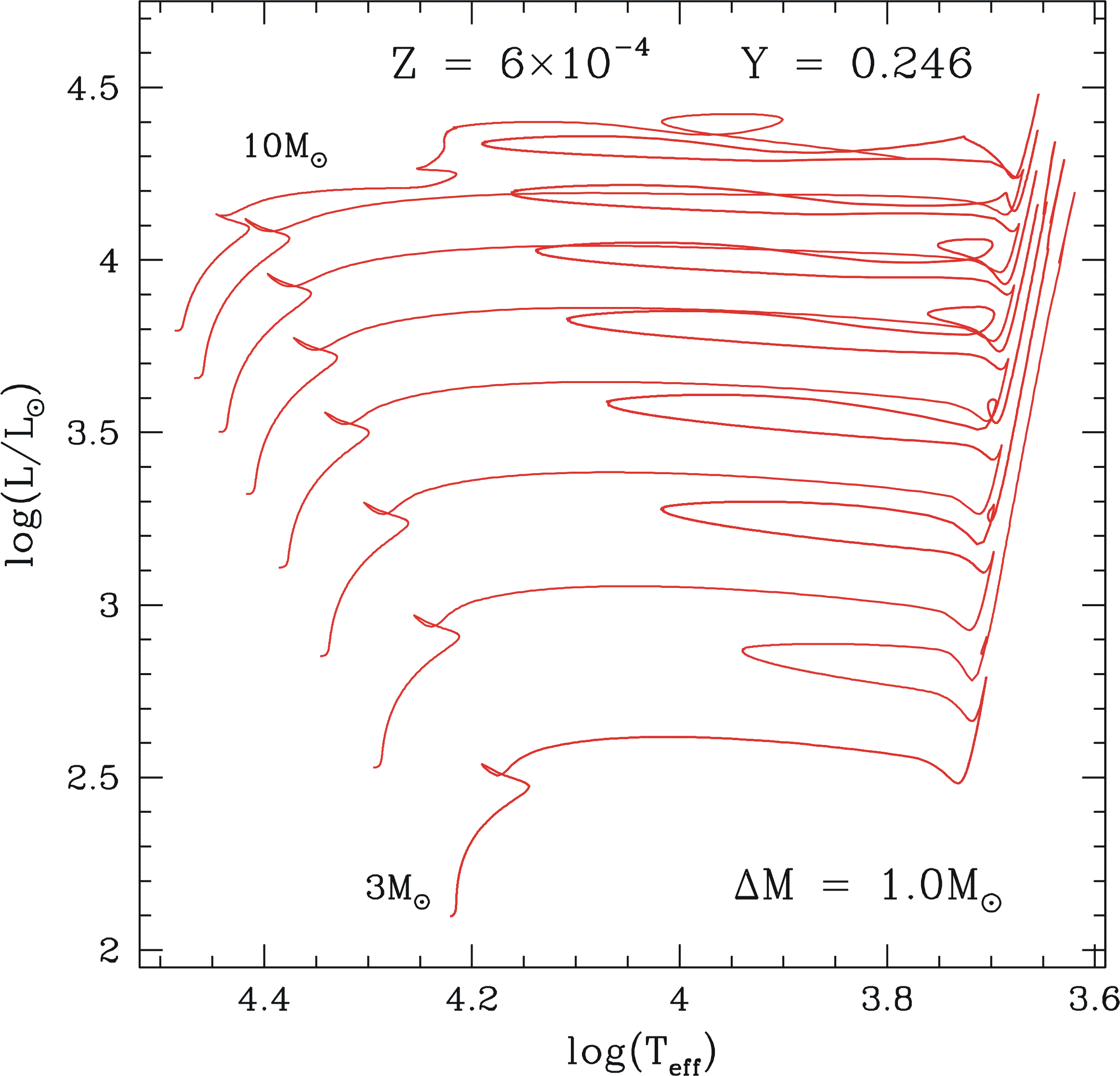
Y= 0.246, Z = 0.0006 - Evolutionary models |
|
| |||||
TABLE by PIETRINFERNI A. - CASSISI S. - SALARIS M. - CASTELLI F. -
2006 non canonical alpha-ehnanced Z= 0.0006 Y= 0.2460
|
ZAMS
|
end central H
|
Tip RGB
|
ZAHB
|
end central He
|
first THERMAL PULSE
| M
| log(L) | log(Te) | Mcc | Mc_He | t_Hb | log(L) | log(Te) | He_sur | Age
| Mc_He | Mcc | Mc_He | Mc_CO | t_Heb | Mc_CO | Mc_He | log(L) | log(Te) | Age
| 1.1000 | .3933 | 3.8676 | .1370 | .1325 | 4344.70 | 3.3339 | 3.6327 | .2650 | 4732.70 | .4870 | .1238 | .5273 | .2207 | 83.76 | .5120 | .5413 | 3.4222 | 3.6276 | 4850.91
| 1.2000 | .5556 | 3.8984 | .1733 | .1415 | 3604.49 | 3.3292 | 3.6368 | .2660 | 3970.28 | .4858 | .1221 | .5347 | .1792 | 83.43 | .5203 | .5488 | 3.4920 | 3.6261 | 4085.42
| 1.3000 | .6995 | 3.9285 | .2053 | .1535 | 3095.36 | 3.3197 | 3.6408 | .2670 | 3365.45 | .4837 | .1232 | .5388 | .1799 | 82.23 | .5274 | .5548 | 3.5206 | 3.6279 | 3477.03
| 1.5000 | .9564 | 3.9805 | .2680 | .1816 | 2333.01 | 3.2331 | 3.6530 | .2680 | 2514.16 | .4673 | .1157 | .5458 | .1841 | 88.07 | .5333 | .5582 | 3.6328 | 3.6264 | 2626.46
| 1.7000 | 1.1727 | 4.0248 | .3262 | .2107 | 1886.26 | 2.5569 | 3.6953 | .2710 | 1980.64 | .3445 | .1275 | .5227 | .2073 | 169.13 | .5093 | .5405 | 3.4874 | 3.6430 | 2169.92
| 1.9000 | 1.3597 | 4.0675 | .3796 | .2304 | 1316.54 | 2.4401 | 3.7048 | .2700 | 1347.70 | .3400 | .0730 | .5612 | .2024 | 133.02 | .5534 | .5765 | 3.6091 | 3.6396 | 1494.64
| 2.1000 | 1.5302 | 4.1060 | .4323 | .2682 | 926.53 | 2.4499 | 3.7078 | .2620 | 952.78 | .3593 | .0834 | .6103 | .2002 | 97.76 | .6059 | .6219 | 3.7727 | 3.6318 | 1060.04
| 2.3000 | 1.6947 | 4.1386 | .4820 | .2940 | 631.87 | 2.5139 | 3.7080 | .2560 | 705.76 | .3834 | .0883 | .6615 | .2204 | 74.43 | .6620 | .6744 | 3.8464 | 3.6311 | 787.01
| 2.5000 | 1.8363 | 4.1645 | .5395 | .3212 | 464.14 | 2.5925 | 3.7073 | .2520 | 541.45 | .4104 | .0946 | .7191 | .2597 | 58.81 | .7191 | .7275 | 3.9900 | 3.6250 | 605.20
| | |||||||||||||||||||||||||||||||||
| M | Stellar mass | (solar units) |
| L | Surface luminosity | (solar units) |
| Te | Effective temperature | (Kelvin) |
| Mcc | Mass of convective core | (solar units) |
| Mc_He | Mass of He-core | (solar units) |
| t_Hb | Central H-burning lifetime | (10^6 year) |
| Age | Structure age | (10^6 year) |
| He_sur | Surface He | (mass fraction) |
| Mc_CO | Mass of CO-core | (solar units) |
| t_Heb | Central He-burning lifetime | (10^6 year) |
TABLE by PIETRINFERNI A. - CASSISI S. - SALARIS M. - CASTELLI F. -
2004 non canonical alpha-enhanced Z= 0.0006 Y= 0.2460
|
ZAMS
|
end central H
|
ZAHB
|
end central He
|
second dr. up
|
first THERMAL PULSE
| M
| log(L) | log(Te) | Mcc | Mc_He | t_Hb | Mc_He
| Mcc | Mc_He | Mc_CO | t_Heb | Mc_CO | log(L) | Mc_CO | Mc_He | log(L) | log(Te) | Age
| 3.0000 | 2.0976 | 4.2211 | .7130 | .4066 | 306.70 | .4872 | .1278 | .8495 | .3498 | 35.41 | .7867 | 4.1866 | .7991 | .8043 | 4.1275 | 3.6244 | 349.15
| 4.0000 | 2.5291 | 4.2950 | 1.0446 | .5642 | 142.33 | .6611 | .1725 | 1.1510 | .5404 | 16.28 | .8394 | 4.2536 | .8495 | .8534 | 4.2369 | 3.6337 | 161.27
| 5.0000 | 2.8521 | 4.3461 | 1.3998 | .7710 | 83.91 | .8589 | .2402 | 1.4646 | .6801 | 9.17 | .9140 | 4.3193 | .9245 | .9267 | 4.3684 | 3.6368 | 94.44
| 6.0000 | 3.1090 | 4.3862 | 1.7852 | .9766 | 56.59 | 1.0818 | .3050 | 1.7924 | .8383 | 5.82 | 1.0049 | 4.2748 | ------- CARBON IGNITION -------
| 7.0000 | 3.3213 | 4.4177 | 2.1789 | 1.2504 | 41.50 | 1.3287 | .3926 | 2.1373 | 1.0190 | 4.09 | no dredge up | ------- CARBON IGNITION -------
| 8.0000 | 3.5016 | 4.4441 | 2.5910 | 1.4825 | 32.25 | 1.6057 | .5151 | 2.5076 | 1.2363 | 3.07 | no dredge up | ------- CARBON IGNITION -------
| 9.0000 | 3.6577 | 4.4675 | 3.0263 | 1.7911 | 26.16 | 1.8974 | .6184 | 2.8813 | 1.4909 | 2.42 | no dredge up | ------- CARBON IGNITION -------
| 10.0000 | 3.7948 | 4.4863 | 3.4848 | 1.5118 | 18.97 | 1.6376 | .5341 | 2.7785 | 1.3702 | 3.10 | no dredge up | ------- CARBON IGNITION -------
| | |||||||||||||||||||||||||||||||||||||||||||||||||||||
| M | Stellar mass | (solar units) |
| L | Surface luminosity | (solar units) |
| Te | Effective temperature | (Kelvin) |
| Mcc | Mass of convective core | (solar units) |
| Mc_He | Mass of He-core | (solar units) |
| t_Hb | Central H-burning lifetime | (10^6 year) |
| Mc_CO | Mass of CO-core | (solar units) |
| t_Heb | Central He-burning lifetime | (10^6 year) |
| Age | Structure age | (10^6 year) |
|
|
|
Y=0.246, Z = 0.0006 - Isochrones (Age: 30 - 9500 Myr)
| |||||
| List of metallicities |